I'll only mildly apologize for the large size and ugly figures, since it's free. Hope this is useful!
Albert

Although we don't know eta(x), we do know x(eta):

where {Xi} is the nodal coordinates of the element
So, the inverse:

is "easy" to evaluate.
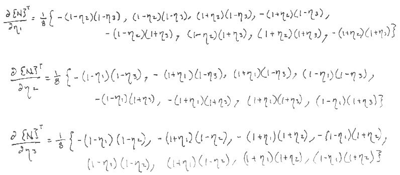
For a trilinear hexahedron defined as:


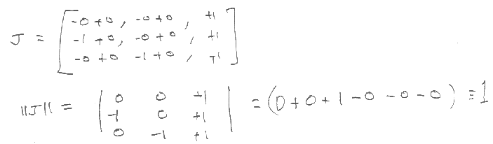
Evaluating at the CENTROID (not at the Gauss points!!),
![]()


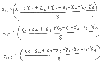
where all matrix entries are zero except:

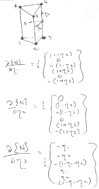
For a 6-noded pentahedron (wedge):

so the centroid is again used to evaluate the eta's instead of the gauss point



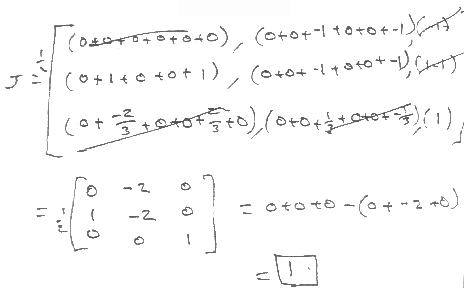
For a 4 noded tetrahedron:


So, since a purely linear element has constant derivatives, the true jacobian is worthless for 4-node tetrahedra. Hence it is common to replace it with a volumic measure, to remain consistent with the other element's jacobians.


